지롤라드 카르다노(Girolamo Cardano, 1501년 ~ 1576년)는 이탈리아의 수학자이자 유명한 의사였습니다. 또한 점성술자로 철학을 연구하기도 했습니다. 반면 도박에 빠지기도 하고 3차 방정식의 해법을 자신이 발견한 듯이 발표하기도 하는 등 논란을 가졌던 괴짜 수학자 카르다노에 대하여 알아보겠습니다.

다양한 직업을 가진 카르다노
카르다노는 이탈리아의 유명 귀족 집안의 사생아로 태어났다고 합니다. 아버지는 밀라노의 인기 있는 변호사였고 레오나르도 다빈치의 도형 문제를 풀 만큼 수학적 지식도 뛰어났고 유클리드를 연구하는 수학 전문가였다고 합니다. 자연스럽게 카르다노도 수학을 접하게 되고 수학자가 된 것은 너무도 당연한 일이라고 하겠습니다. 카르다노는 이 외에도 의학을 공부하여 의사가 되고 점성술자로 철학을 연구하는 등 다양한 분야에서 활동하였습니다.
의사로서 스코틀랜드의 추기경의 천식을 치료한 일화가 유명합니다. 추기경의 침대에 깃털을 사용하지 못하게 하였더니 천식이 좋아졌다고 합니다. 이것은 알레르기 현상이 있음을 직관적으로 판단했기 때문입니다. 또한 장티푸스를 최초로 발견하기도 했습니다.
카르다노는 점성술사로 종교재판을 받아 몇 달 동안 수감되기도 했습니다. 자신의 죽음도 예언했는데 1576년 9월 21일에 자신이 죽는다고 말하고 그것이 옳음을 증명하기 위해 그날 자살했습니다. 수학, 철학, 의학, 물리학 등 다양한 분야에서 천재적인 능력을 발휘하였으나 호전적이고 거칠었던 성격으로 미치광이 천재라고 불렸지만 재능이 매우 뛰어난 수학자였음은 분명합니다.
도박에서 확률을 연구하다.
당시에는 주어진 문제를 가장 빨리 푸는 사람에게 상금이 주어지는 수학경기가 있었다고 합니다. 카르다노는 상금을 혼자서 많이 갖기도 했다고 합니다. 또한 도박을 좋아해서 확률에 대한 연구를 했습니다. 당시에는 사람들에게 큰 주목을 받지 못 한 부분이지만 후에 많은 학자들이 확률을 연구하는데 토대가 되었습니다. 그렇지만 도박중독자까지 간 카르다노는 아무리 수학적 확률을 동원해도 도박으로 돈을 딸 수 없다는 것을 깨닫게 됩니다.
카르다노는 확률의 체계화를 시작했습니다. 도박을 즐긴 카르다노는 특히 체스와 주사위 던지기를 좋아했습니다. 매일 도박을 하다시피 한 카르다노는 도박을 잘하기 위해 공략집을 만들기 시작했습니다. 그 책이 「확률 게임에 관한 책」입니다. 이 책이 바로 최초로 확률론을 체계적으로 다룬 책입니다. 당시에는 주목받지 못했지만 후대에 확률 연구에 영향을 주었습니다.
3차 방정식 논란
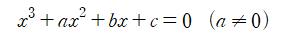
3차 방정식 해법에 대하여도 많은 이야기가 있습니다. 그는 「아르스 마그나」라는 책에 3차 방정식의 해법을 소개합니다. 그런데 2차 항이 없는 3차 방정식의 해법은 스키피오 델 페로, 1차 항이 없는 3차 방정식은 니콜로 폰타나 타르탈리아의 해법을 자신의 업적인양 책에 실어 발표하였습니다. 이때 타르탈리아는 3차 방정식의 해법을 공개하지 않는 조건으로 알려주었는데 그 약속을 카르다노가 어겼다고 주장했습니다. 카르다노는 타르탈리아의 해법에 불완전한 것을 연구하고 이를 보완해서 책에 실었다고 주장했습니다. 이에 타르탈리아는 3차 방정식의 해법을 걸고 수학경기를 제안했습니다. 서로에게 문제를 내어 풀지 못하는 사람이 지는 경기입니다. 그러나 카르다노는 자신의 제자인 루도비코 페라리와 함께 문제를 해결했습니다. 결국 3차 방정식의 해법을 통해 4차 방정식의 해법까지 구한 제자 페라리의 도움으로 카르다노가 이기게 됩니다.
다음은 논란의 3차 방정식 해법을 알아보겠습니다.
일반적인 3차 방정식

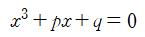
을 변수 변환을 사용하면

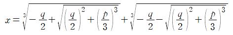
형태로 3차 방정식을 바꾸고 나서 기하학적 원리를 사용하여 대수적으로 얻은 다음의 공식을 카르다노의 공식이라고 합니다.

카르다노는 타르탈리아의 해법을 가지고 보완하여 만들었다고 주장했습니다.
그는 연구 과정에서 3차 방정식을 위한 근의 공식은 허수 개념을 도입하지 않으면 완성되지 않는다고 주장하였습니다. 허수를 도입하지 않더라도 3개의 근 중 하나는 계산할 수 있으나 나머지 2개의 근을 구하기 위해서는 허수가 필요하다고 했습니다. 즉 허수의 개념을 처음으로 고안하게 됩니다. 허수의 개념은 만들었으나 이를 복소평면까지는 확장하지 못했습니다. 왜냐하면 사실 카르다노가 살았던 그 시기에는 아직도 음수를 받아들여야 하는지 아닌지에 대한 논쟁을 벌이는 때였으므로 허수의 개념을 생각한 것만으로도 대단한 일이었습니다.
카르다노의 영향과 의의
수학, 의학, 철학, 역학 등 다방면에서 천재적인 능력을 발휘한 카르다노는 확률을 체계화하고 허수의 개념을 도입하는 등 많은 업적을 남겼습니다. 그러나 다소 거칠었던 성격과 3차 방정식 해법에 대한 타르탈리아의 갈등으로 도덕적인 평가는 그리 좋지는 않습니다. 그러나 그의 천재성은 인정되고 있으며 이탈리아의 천재라고 하면 레오나르도 다 빈치와 함께 반드시 거론되는 인물 중의 한 사람입니다.
'수학자 이야기' 카테고리의 다른 글
| 침대 위에서 세상을 바꾼 해석 기하학의 창시자, 데카르트 (1) | 2023.09.01 |
|---|---|
| 로그를 발견한 마법사이자 수학자, 존 네이피어 (0) | 2023.08.31 |
| 유럽에 아라비아 숫자를 소개한 수학자, 피보나치 (0) | 2023.08.29 |
| 3차 방정식의 해법을 발견한 시인 수학자, 오마르 하이얌 (0) | 2023.08.28 |
| 인류 최초의 여성 수학자, 히파티아 (0) | 2023.08.27 |